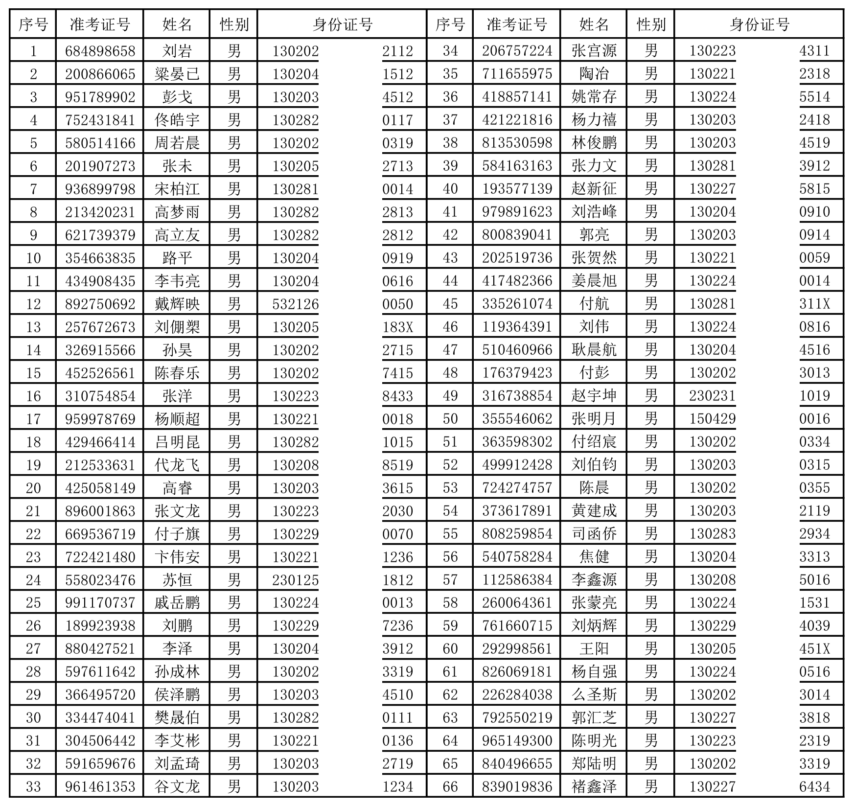
以下為唐山市公安局路南分局面向社會公開招聘警務輔助人員,網上報名初審合格人員名單,資格復審通過的考生進入筆試程序;資格復審未通過的考生取消資格,請考生按照要求參加資格復審及做好筆試準備工作:
附:報名合格人員名單如下

一、資格復審
進入資格復審人員請于2024年5月9日(上午9:00-11:30;下午13:00-16:00)到唐山市路南區創新里零工市場進行資格復審,考生根據報考崗位條件要求攜帶以下證件和材料(原件及復印件):
1.本人身份證、戶口本(主頁、本人頁)、學歷證書、學位證書、學信網學歷認證,退伍軍人需提交退伍證原件及復印件;
2.取得國外(境外)學歷學位證書的報名人員,同時需提供國家教育部留學服務中心出具的《學歷學位認證書》等相關證件材料(原件及翻譯件);